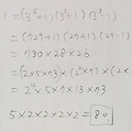
인수분해를 한 후에 계산을 해서 소인수분해를 해서 풀어야 하는 건가요?
더 쉬운 방법이 있을 것 같아서 질문드립니다.
다음 카페의 ie10 이하 브라우저 지원이 종료됩니다. 원활한 카페 이용을 위해 사용 중인 브라우저를 업데이트 해주세요.
다시보지않기
Daum
|
카페
|
테이블
|
메일
|
즐겨찾는 카페
로그인
math114 수학자료실
https://cafe.daum.net/-math114-
검색
카페정보
math114 수학자료실
플래티넘 (공개)
카페지기
한량
회원수
42,623
방문수
19
카페앱수
116
카페 전체 메뉴
▲
카페 게시글
목록
이전글
다음글
답글
수정
삭제
스팸처리
질문과 답
중3수학 기출 문제 질문드려요.
seastar8
추천 0
조회 127
18.04.26 00:00
댓글
2
북마크
번역하기
공유하기
기능 더보기
게시글 본문내용
다음검색
댓글
2
추천해요
0
스크랩
0
댓글
블루7
18.04.26 07:17
첫댓글
원본보기
seastar8
작성자
18.04.27 14:48
감사합니다. 혹시 다른 방법이 있을까 했거든요.
검색 옵션 선택상자
댓글내용
선택됨
옵션 더 보기
댓글내용
댓글 작성자
검색하기
재로딩
최신목록
글쓰기
답글
수정
삭제
스팸처리
첫댓글
감사합니다. 혹시 다른 방법이 있을까 했거든요.