|
|
|
굽 힘 형 식 |
r/t |
k |
|
V 굽힘 |
0.5이하 |
0.2 |
|
0.5~ 1.5 |
0.3 | |
|
1.5 ~ 3.0 |
0.33 | |
|
3 ~ 5 |
0.4 | |
|
5이상 |
0.5 | |
|
U 굽힘 |
0.5이하 |
0.25 ~ 0.3 |
|
0.5 ~ 1.5 |
0.33 | |
|
1.5 ~ 5.0 |
0.4 | |
|
5이상 |
0.5 |

2.외측 치수 가산법(반지름(R) 값이 0이고 , 90도 일때...)

|
t |
1.0 |
1.2 |
1.6 |
2.0 |
2.3 |
3.2 |
|
C |
1.5 |
1.8 |
2.5 |
3.0 |
3.5 |
5.0 |
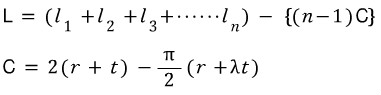
n : 직변부의 수
n - 1 : 굽힘 장소의 수
C : 신장보정계수

1. 내측으로 전개도 구하는 방법. => 허용, K 변수 값
2. 외측으로 전개도 구하는 방법. => 차감
이처럼... 여러가지 방식을 전개식을 구합니다.
2. 내측 치수 가산법 ( 90도 일때...) 간단하게.
벤딩(굽힘) 90도 직각 ( R = 0)일 때...
L = A + B + K (n)
( L = 전개 길이, A , B => 내측면 길이, K = 연신율 길이 값, n = 굽힘 장소의 수 )
K = 0.4 곱하기 t (재료의 두께)
K = 0.45 t
K = 0.5 t 이처럼.... 3가지로 구합니다.
연신율은 재료의 중립축에서 내측으로 갑니다. R/T 값을 나누어서 5 값이 나오면 재료의 중립축 입니다.
벤딩(굽힘)은 탄성과 소성의 중립축 값을 구한다.
도면은 솔리드 윅스 K 변수값 구하기를 참조 해 주세요.
그럼요. 오늘도 좋은 하루 되길...