• Daum
  • |
  • 카페
  • |
  • 테이블
  • |
  • 메일
  • |
  • 카페앱 설치
 
카페정보
카페 프로필 이미지
math114 수학자료실
카페 가입하기
 
 
 
카페 게시글
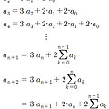
질문과 답 <수열의 귀납적 정의> 점화식이 틀려요.ㅠㅠ
치미레몬 추천 0 조회 381 21.07.15 15:43 댓글 3
게시글 본문내용
 
다음검색
댓글
  • 21.07.15 16:25

    첫댓글 일단 점화식은 밑의 것이 맞습니다.
    a_3 =41 이 나옵니다. 2개 더 추가 해야 합니다.
    1221
    222
    요런 형태 2개 추가 해야 합니다.

  • 21.07.15 19:53

    풀이입니다.

  • 작성자 21.07.15 21:48

    아! 그렇군요! 정말 고맙습니다!

최신목록