• Daum
  • |
  • 카페
  • |
  • 테이블
  • |
  • 메일
  • |
 
카페정보
카페 프로필 이미지
math114 수학자료실
 
 
 
카페 게시글
질문과 답 대수 고등수학 상 1학기 중간 킬러 문제 좀 풀어주세요.
선연 추천 0 조회 945 24.03.05 00:13 댓글 10
게시글 본문내용
 
다음검색
댓글
  • 24.03.05 20:43

    첫댓글 첫22번입니다 중간에 계산실수했네요 수정해서사진다시올렸어요

  • 24.03.05 04:41

    21번입니다

  • 24.03.05 05:17

    20번입니다 4가지경우중 직선이되는경우는2차가안되니뺐어요

  • 24.03.05 13:53

    둘째22번 수정이요 부호 틀렸었네요

  • 작성자 24.03.06 23:09

    정말 감사드려요, 선생님!!
    복 많이 받으실 꺼에요!^^

  • 24.03.05 18:44

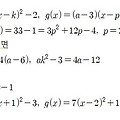
    첫22번 f(x) 가 틀리신것 같습니다
    f(p)=33 이 안나오는것 같습니다
    저는 4x^2+8x+1 이 나오는거 같은데 깔끔한 풀이가 있으면 부탁드리겠습니다

  • 24.03.05 18:59

  • 24.03.05 19:40

    @대각국사 f(x)-g(x) 하면 다른 식이 나오는것 같습니다

  • 24.03.05 19:44

    @재일 f(x)가 오타 났네요

  • 24.03.12 18:57

최신목록