질문1.hwp
다음 카페의 ie10 이하 브라우저 지원이 종료됩니다. 원활한 카페 이용을 위해 사용 중인 브라우저를 업데이트 해주세요.
다시보지않기
Daum
|
카페
|
테이블
|
메일
|
즐겨찾는 카페
로그인
카페앱 설치
math114 수학자료실
https://cafe.daum.net/-math114-
검색
카페정보
math114 수학자료실
골드 (공개)
카페지기
한량
회원수
47,190
방문수
231
카페앱수
116
카페 전체 메뉴
▲
카페 게시글
목록
이전글
다음글
답글
수정
삭제
스팸처리
질문과 답
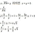
절대부등식(조건부등식)최대,최소문제입니다. 부탁드립니다.
나무어린이
추천 0
조회 226
16.08.24 15:01
댓글
2
북마크
번역하기
공유하기
기능 더보기
게시글 본문내용
다음검색
첨부된 파일
개
▼
질문1.hwp (9kB)
다운로드
저작자 표시
컨텐츠변경
비영리
댓글
2
추천해요
0
스크랩
0
댓글
자유를 찾아
16.08.24 15:36
첫댓글
.
원본보기
나무어린이
작성자
16.08.24 17:03
넘~~감사합니다ㅋㅋㅋㅋ
검색 옵션 선택상자
댓글내용
선택됨
옵션 더 보기
댓글내용
댓글 작성자
검색하기
재로딩
최신목록
글쓰기
답글
수정
삭제
스팸처리
첫댓글 .
넘~~감사합니다ㅋㅋㅋㅋ