1. 서언
토마토는 세계적으로 중요한 작물로, 건강에 좋은 비타민 C, flavonoids 및 carotenoids를 풍부하게 함유하고 있고, 라이코펜과 β-carotene도 총 카로티노이드 함량의 78%와 7%를 각각 차지한다. 토마토의 붉은색은 대부분 라이코펜으로, 항산화작용으로 암 형성을 방지하고, 베타카로틴도 provitamine A의 활성을 통해 건강을 증진시킨다. 토마토의 생리특성 중 호흡패턴은 climacteric형으로 알려져 있으며, 착색이 50~60%에 이를 때 climacteric의 최고조에 도달한 후 서서히 감소한다고 알려져 있다.
토마토의 수확 후 저장수명은 상대적으로 짧아서 연간 손실이 크므로 토마토의 숙성을 조절하는 것이 큰 경제적 이익을 가져올 수 있다. 에틸렌 호르몬의 무독성 길항제인 1-methylcyclopropene(1-MCP)는 원예산물에 처리 후 에틸렌 수용체에 결합하여 에틸렌 작용을 억제하는 물질로서, 여러 과일과 채소 등에서 연화 억제, 색택유지, 중량감소 억제, 호흡 억제 등의 효과가 확인되어 있다. 과실의 숙기에 따른 1-MCP 처리 효과에 대한 연구에서는 climacteric 보다는 pre-climacteric 단계에서 처리시 그 효과가 좋다고 보고되어 있고, 수확후 선도 유지를 위해 1-MCP 처리를 통한 저장기간 연장에 관한 많은 연구가 수행되고 있다. Wills 등(2001)에 의하면 미숙 토마토의 숙성은 >0.05μLㆍL-1의 농도의 에틸렌에 의해 촉진된다고 하였다. 또한, 토마토에 1-MCP를 5 μLㆍL-1로 1시간 동안 노출시키면 숙성에 소요되는 시간을 70% 정도 증가시키며 상업적 처리가 가능한 것으로 보고되었다.
토마토에 대한 1-MCP의 작용은 많이 밝혀져 있으나, 처리시 필요한 1-MCP의 양은 종과 품종에 따라 다양하다.
따라서, 본 연구에서는 climacteric으로 알려진 토마토 중 방울토마토 ‘BHN265' 품종에 대해 1-MCP 처리에 적합한 수확시기를 구명하고자 하였고, 동시에 완숙기의 방울토마토에 1-MCP 처리시 선도 유지 효과를 구명하고자 수행하였다.
2. 재료 및 방법
시험 재료 : 숙기에 따른 1-MCP에 대한 반응을 알아보기 위해 방울토마토 'BHN265' 품종을 수확 즉시 실험실로 옮겨 숙기별로 선별한 후 가스조절이 가능한 챔버로 옮겼다. 토마토의 착색 정도에 따른 숙기 구분은 green, breakers, turning, pink, light red, red의 6단계로 구분되어 있는데 green 단계는 전체적으로 푸르며 과정부가 노란색으로 착색되기 시작하는 상태이고 breakers 단계는 부분적으로 노란색, 분홍색 그리고 붉은색이 토마토 표면의 10% 미만을 보이는 단계이다. turning 단계는 노란색, 분홍색 그리고 붉은 색이 토마토 표면의 10~30% 면적을 차지하는 단계이고, pink 단계는 분홍이나 붉은 색이 전체 표면적의 30~90%를 차지하는 단계이며, light red 단계는 진분홍 또는 붉은색이 60%이상이나 붉은색이 90%를 넘지 않은 상태, red 단계는 표면적의 90%이상이 붉은색으로 착색되는 단계를 말한다.
이 실험에서는 4단계인 pink에서 5단계인 light red로 전환되는 상태의 토마토를 미숙과로 선별하였고(이후 P-LR로 표기), 5단계인 light red에서 6단계인 red로 전환되는 단계를 완숙과로 선별하여(이후 LR-R로 표기) 시험재료로 이용하였다. 시험재료로 이용된 방울토마토의 초기 상태와 품질특성을 표 1에 나타내었다.
표 1. 방울 토마토 수확후 초기 품질
| 성숙단계 |
외관 |
초기 품질 |
| pink~light red |
|
Hunter L |
48.23 |
| Hunter a |
1.87 |
| Hunter b |
23.59 |
| Hue angle (°) |
85.11 |
| chroma |
23.90 |
| 경도(N) |
10.245 |
| 적정산도(%) |
0.869 |
| 당도(°Bx) |
3.36 |
| light red ~ red |
|
Hunter L |
42.63 |
| Hunter a |
10.98 |
| Hunter b |
23.12 |
| Hue angle (°) |
64.98 |
| chroma |
25.56 |
| 경도(N) |
7.224 |
| 적정산도(%) |
0.716 |
| 당도(°Bx) |
3.62 |
- 1-MCP 처리 : 선별된 방울토마토를 가스조절 챔버로 옮긴 후 0.5 ppm의 1-MCP를 20℃에서 24시간 동안 처리하였다. 1-MCP는 분말 상태로 구입(SmartFreshTM, AgroFresh Inc., USA)하였고, 다음식에 의해 처리량을 계산하였다. y = 3.8825 x - 9.7633, y값은 [1-MCP 처리를 위한 전체 용기 면적(L) × 처리하고자 하는 1-MCP 농도(ppm)] /1-MCP 반응 용기 부피(L), x값은 처리할 1-MCP 무게(g)를 의미한다. 계산시 1-MCP 처리를 위한 용기의 총 공간 면적은 1-MCP 처리용기 부피에서 용기 속에 들어갈 시료 토마토의 무게와 1-MCP 반응용기 무게 등을 1 g당 1 ml 로 환산하여 빼 준 실 공간부피를 의미한다. 처리량의 1-MCP를 정량하여 0.1 L들이 삼각플라스크(반응 용기)에 넣고 25 mL의 증류수를 부은 다음 마개를 닫고 몇 번 흔들어 주어 녹인 후, 마개를 뽑고 처리하고자 하는 용기에 넣고 밀폐하였다. 처리시 분말 1-MCP는 물에 접촉함과 동시에 1-MCP 가스를 발생시키므로 흔들어 녹이는 과정과 처리용기에 넣는 시간을 최대한 신속하게 하도록 주의하였다. 대조구의 과실은 1-MCP 처리시간 동안 처리구와 같은 조건의 챔버에서 24시간 동안 유지하였다. 처리 도중 방울토마토의 호흡에 의한 이산화탄소 축적을 최소화하기 위해 12시간 처리 후 밀폐를 해제하고 환기시킨 후 다시 새로운 1-MCP를 같은 농도로 처리하여 나머지 12시간을 유지시켰다. 1-MCP 처리후 방울토마토를 20℃, 상대습도 85~95% 챔버로 옮긴 후 저장기간 경과에 따른 호흡 및 품질 특성을 조사하였다.
- 호흡량과 에틸렌 생성 : 호흡량과 에틸렌 생성량의 조사를 위하여 처리구별로 각각 25개의 과실을 2 L 용기에 넣어 2시간 동안 밀폐시킨 후 용기 내에서 1 mL의 공기를 취하여 GC로 분석하였다. 이산화탄소와 에틸렌 standard gas 농도는 각각 0.9 μLㆍL-1 와 1.02 %를 사용하였고, 시료의 호흡과 에틸렌 발생을 측정할 때마다 standard gas 농도를 측정하여 보정하였다. 각 처리당 조사는 5반복으로 실시하였다.
- 품질특성 : 중량감소율, 색도, 경도, 적정산도, 가용성 당 함량, 생리장해 및 병과 발생율을 조사하여 1-MCP 처리가 토마토 과실 품질에 미치는 영향을 조사하였다. 방울토마토의 중량감소율은 저장초기의 중량에 대한 감소량을 백분율로 환산하여 나타내었다. 과피색의 변화는 색차계(Minolta Colorimeter, CR-200)를 이용하여 lightness(명도), chroma(채도), hunter a(red-green)와 b(yellow-blue)값을 측정하였고, 측정된 a값과 b값을 Hue angle 값(h°)으로 다음 계산식으로 환산하였다. a>0, b>0 일 때 Hue angle (o) = Arc tan(b*/a*), a<0, b>0일 때 Hue angle (o) = 180 + Arc tan(b*/a*).
측정시마다 흰색 calibration tile (L* 97.75, a*-0.43, b* 0.29)을 이용하여 보정하였다. 방울토마토에서 hue angle이 높은 것은 녹색을 많이 띠는 것을 의미하며, 값이 낮아질수록 빨간색으로 변화하는 것을 나타낸다.
경도는 과실의 적도 부분 표피를 제거한 후 과육부분을 물성측정계(Instron model 4411-C8009, Canton, Mass.)를 이용하여 5kg의 load cell을 부착하고, 직경 7.5mm의 probe를 이용하여 깊이 3.5mm까지 10 mmㆍmin-1의 속도로 관입시킬 때 얻어지는 최대치를 Newton(N)값으로 나타내었다. 처리당 5 반복을 두었으며, 한 과실당 적도부 두 곳에서 측정하여 평균값을 구하였다. 방울토마토의 적정산도는 적절히 희석한 착즙액을 0.1N NaOH로 적정하여 토마토의 주요 유기산인 citric acid 함량(equivalent factor 0.064)으로 표시하였다.
당도는 4개의 과육을 함께 착즙한 후 굴절당도계(Cambridge instruments Inc.)로 측정하여 oBrix 단위로 나타내었다.
- 데이터 분석 : 저장기간에 따른 모든 품질 특성 분석은 5반복씩 조사하여 평균값을 구한 후 표준오차(standard error, SE)로 나타내었다.
3. 결과 및 고찰
에틸렌 생성과 호흡량
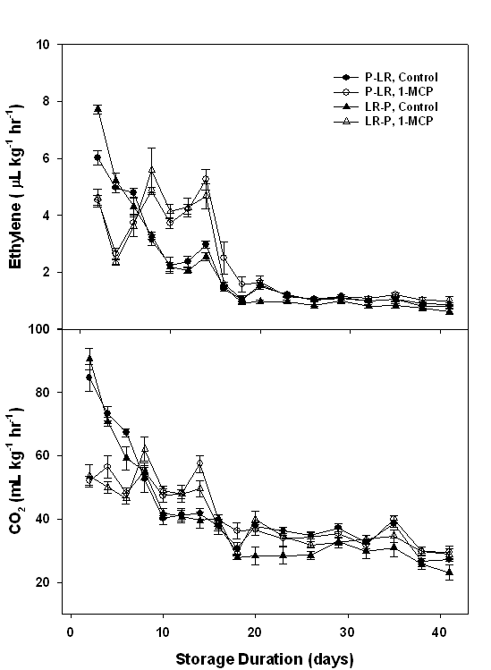
방울토마토 생육 단계에 따른 1-MCP 효과를 구명하기 위해 미숙상태인 pink~light red, 적숙상태인 light red~red 단계를 선별하여 0.5ppm 1-MCP를 처리한 후, 저장기간 경과에 따른 에틸렌 발생량을 그림 1에 나타내었다. 방울토마토 숙기에 따른 초기 에틸렌 발생량은 적숙인 LR-R구에서 7.717 μL ㆍkg-1ㆍh-1로 미숙인 P-LR 구의 6.023 μLㆍkg-1ㆍh-1에 비해 높게 나타났다. 1-MCP 처리에 따른 에틸렌 발생량은 미숙, 적숙 모두 4.5~4.6 μLㆍkg-1ㆍh-1으로 무처리에 비해 낮았으며, 이후 7일까지 무처리에 비해 낮은 에틸렌 발생량을 보였다. 이후 8~15일경까지 1-MCP 처리구에서 급격하게 에틸렌 발생이 증가하였는데 이는 에틸렌 리셉터에 결합된 1-MCP로 인해 억제되어 있던 에틸렌 발생이 어느 시점에서 일시에 방출되거나 품종적인 특성으로 인한 차이일 것이라는 가설을 세울 수 있으나 아직 보고된 바가 없으므로 좀더 상세한 연구가 필요하다.
호흡량의 변화도 에틸렌과 유사한 양상을 보였다. 방울토마토 초기 호흡량은 적숙상태에서 90.62 mLㆍkg-1ㆍh-1로 미숙의 84.59 mLㆍkg-1ㆍh-1보다 높았다. 1-MCP 처리에 따른 호흡량도 미숙, 적숙 모두 저장초기 52~54 μL ㆍkg-1ㆍh-1로 무처리에 비해 낮았고, 이 후 7일경까지 무처리구에 비해 낮은 호흡량을 보였다. 이 후 에틸렌발생량과 유사하게 8~15일경까지 호흡이 증가하였다.
비록 1-MCP에 의해 저장초기 에틸렌 발생이 감소하였으나, 방울토마토 숙기에 따른 에틸렌 발생량 차이는 저장 3일경 적숙과와 미숙과의 차이를 제외하고는 거의 없었다.
1-MCP 처리 이후 저장기간 경과에 따른 색도의 변화를 관찰해 보면(그림 3) 미숙과 적숙 모두 무처리에 비해 색도변화가 느리게 진행되는데, 이를 에틸렌 발생 및 호흡량과 비교시 1-MCP 처리후 5일 이내의 차이가 이후 품질에 영향을 미치는 것을 알 수 있었다. 1-MCP 처리 후 저장 20일 이후부터는 1-MCP 처리구와 무처리구 모두 에틸렌 발생량이 거의 일정하게 유지되었고, 호흡량도 이와 유사한 경향을 보였다.
1-MCP는 식물체에 무독성이며 에틸렌 활성을 방해하는 경쟁적인 억제제로서 에틸렌의 수용체에 결합하여 선도를 연장시키는 것으로 보고되고 있다. 1-MCP 처리구와 무처리구를 비교하면 처리구에 의해 호흡량은 일시적으로 억제되는 것으로 보고되었다. Climacteric형 과일에서 에틸렌 발생과 호흡 급등의 관계는 과일에 따라 차이가 있으며, 호흡 급등 전에 에틸렌 급등이 발생하는지 호흡 급등 후에 에틸렌 급등이 발생하는지에 따라 1-MCP에 대한 반응이 다르다고 보고되어 있다. 토마토는 숙기에 따라 녹숙과 시기에 미량의 내성 에틸렌으로 인해 후숙이 유기되며, 녹숙과 시기에 1-MCP를 처리함으로써 호흡이 급등하기 전에 에틸렌 발생이 억제되어 호흡급등이 억제되고 후숙이 지연되었다는 보고가 있으나, 본 실험에서는 1-MCP를 처리하지 않은 대조구에서 미숙과 적숙 모두 에틸렌 발생량과 호흡량이 저장 18일경까지 급격하게 떨어지다가 이후 완만하게 유지되어 그래프 상에서 호흡급등 현상을 볼 수 없었는데 이는 미숙 상태로 선별된 pink에서 light red로 전환되는 시기의 'BHN265‘ 품종이 다른 토마토 품종의 climcateric 패턴보다는 조금 빠르게 climacteric rise가 진행되었다고 추론할 수 있다. 저장초기 1-MCP 처리구의 방울토마토 호흡량이 1-MCP 무처리구보다 낮은 점과 이후 방울토마토 품질 특성 변화 중 색도의 변화가 1-MCP 처리구에서 느리게 진행되어 선도가 유지되는 것과는 결과가 일치하였다. 향후 ’BHN265' 품종의 미숙과 선별시 본 실험에서 사용된 pink에서 light red로 전환되는 시기보다 약간 더 이전의 상태를 수확해야 할 것이다.
숙기와 1-MCP 처리에 따른 품질 변화
중량 감소율은 적숙인 LR-R 단계의 무처리구가 저장 14일 후부터 증가하면서 1-MCP 처리구보다 감소율이 컸으며, 다른 처리구 간에는 유의적인 차이가 나타나지 않았고(그림 2) 저장 40일경 적숙단계인 LR-R, 무처리구의 중량감소율이 높았던 것은 숙성이 다른 처리에 비해 빠르게 진행되어 세포벽 물질의 연화와 수분 증발이 증가했기 때문으로 생각된다.
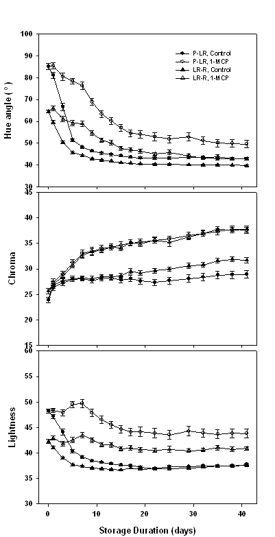
숙기에 따른 1-MCP 처리구는 붉은색으로 후숙되는 변화를 지연시켰다(그림 3, 그림 4) 황색의 변화를 결정하는 Hue angle 값(h°)은 저장 기간이 증가하면서 모든 처리구에서 감소하는 경향이 나타났으며, 미숙과(P-LR), 1-MCP 무처리의 경우 저장 6일 이후에 오히려 적숙(LR-R) 1-MCP 처리구보다 낮은 값을 나타내었으며, 미숙 시기에 1-MCP 처리시 가장 높은 Hue angle 값을 보였으며 녹색이 오래 유지되는 것으로 나타났다. Chroma는 숙기에 상관없이 1-MCP 처리에 의해 저장기간이 증가하면서 수치가 증가하는 것으로 나타났고 1-MCP 처리시 무처리구에 비해 높게 유지되었다. Lightness는 Hue angle의 변화와 유사한 경향을 보였고, 미숙과에1-MCP 처리시 다른 처리에 비해 45 부근의 가장 높은 수치를 유지하였다.
1-MCP 처리는 경도에 큰 영향을 미치며, 1-MCP 처리가 연화를 지연시키는 것으로 나타났다(그림 5). 1-MCP 처리에 따른 방울토마토의 저장 중 경도변화를 측정한 결과 미숙, 적숙과 모두 숙기에 관계없이 1-MCP 처리구에서 무처리구에 비해 높게 유지되었으며, 숙기에 따라서는 미숙과가 적숙과에 비해 전 저장기간 동안 높게 유지되었다. 특이한 사항으로는 1-MCP 처리구에서 저장 6일까지 경도가 다소 증가하다가 다시 감소하는 경향을 나타낸 반면 무처리구에서는 저장 기간이 증가하면서 경도 수치가 일정하게 낮아진 점이다. 1-MCP 처리 후 저장 초기 경도가 높아지는 현상에 대해서는 보다 더 정밀한 연구가 수행되어야 할 것이다. 1-MCP를 처리하지 않은 무처리구에서는 저장 20일경까지는 숙기에 따른 경도가 차이를 보여 미숙과구가 적숙과구에 비해 높은 경도를 나타내었으나 20일 이후 숙기간 유의차가 나타나지 않았다.
적정 산도는 저장 초기 완숙과에서는 0.869%로 미숙과의 0.716%에 비해 높았고, 저장기간이 경과함에 따라 완숙과의 산도는 급격하게 감소하나 미숙과는 완만하게 감소하였다. 1-MCP 처리에 따른 적정산도는 무처리에 비해 전 기간 동안 미숙, 적숙과 모두 높게 나타나 1-MCP 처리의 효과로 품질이 유지됨을 알 수 있었다(그림 6).
방울토마토의 당함량은 숙기와 1-MCP 처리에 상관없이 저장기간 내내 일정하게 유지되었다. 이는 토마토 당함량의 개체간 차이가 크기 때문인 것으로 생각된다. 저장 말기인 42일에 미숙과인 P-LR 무처리구의 가용성 당함량은 기타 처리구에 비해 다소 감소하는 것으로 나타났다(그림 7).
4. 결과 요약
방울토마토 생육 단계에 따른 1-MCP 효과를 구명하기 위해 미숙(pink-light red), 적숙(light red-red) 단계를 선별하여 0.5 ppm 1-Methylcyclopropene (1-MCP, 24시간, 20℃)을 처리한 후 45일간의 저장기간 동안 에틸렌 생성량, 호흡량, 중량감소율, 색도, 경도, 산도, 당도 변화 등의 품질변화를 관찰하였다. 저장 초기 방울토마토의 숙기에 따른 에틸렌 발생량은 완숙기가 미숙기에서보다 높았다. 1-MCP 처리에 따른 에틸렌 발생량은 숙기와 관계없이 저장 초기 5일경까지 1-MCP 처리구가 무처리구에 비해 낮았으며, 이후 저장 7~13일까지 급격하게 증가하였다. 무처리구에서는 저장 초기부터 11일까지 에틸렌 발생량이 빠르게 감소하다가 이후 완만하게 감소하였다. 호흡량도 에틸렌 발생량과 유사한 경향을 보였다.
1-MCP 처리후 저장기간이 경과에 따른 중량감소율, 색도, 경도는 처리구에서 대조구보다 변화가 느렸고, 미숙인 pink-light red 단계에서 처리한 것이 적숙인 light red-red 단계시 처리한 것보다 변화의 폭이 느렸다. 적정 산도는 저장기간이 연장될수록 감소하였고, 1-MCP 처리구에서 감소량이 훨씬 적어 품질이 유지됨을 알 수 있었다. 1-MCP는 숙기와 관계없이 색도, 경도, 산도를 유지시키고, 가용성 고형물 함량에 영향을 미치지 않는 등 방울토마토의 품질유지 효과를 나타내었다. 따라서, 외관 및 전체적인 품질로 판단할 때에 방울토마토 미숙과 1-MCP 0.5 ppm 처리구가 무처리구와 적숙 처리구에 비해 선도 유지기간이 연장되었다.

그림 1. 1-MCP 처리에 따른 방울토마토의 저장기간기간 경과에 따른 에틸렌과 이산화탄소 발생 (저장온도 : 20℃)

그림 2. 1-MCP 처리에 따른 방울토마토의 저장기간기간 경과에 따른 중량감소율 (저장온도 : 20℃)

그림 3. 1-MCP 처리에 따른 방울토마토의 저장기간기간 경과에 따른 색도변화 (저장온도 : 20℃)
| P-LR |
무처리 |
|
|
|
|
|
|
| 1-MCP |
|
|
|
|
|
|
| LR-R |
무처리 |
|
|
|
|
|
|
| 1-MCP |
|
|
|
|
|
|
|
|
2 |
5 |
13 |
22 |
28 |
41 |
|
|
저장기간 |
그림 4. 1-MCP 처리에 따른 방울토마토의 저장기간기간 경과에 따른 외관품질변화 (저장온도 : 20℃)

그림 5. 1-MCP 처리에 따른 방울토마토의 저장기간기간 경과에 따른 경도 변화 (저장온도 : 20℃)

그림 6. 1-MCP 처리에 따른 방울토마토의 저장기간기간 경과에 따른 적정산도 (저장온도 : 20℃)

그림 7. 1-MCP 처리에 따른 방울토마토의 저장기간기간 경과에 따른 당도(저장온도 : 20℃)