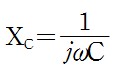
도전율은 저항율의 역수이기 때문에 교류 임피던스 성분 중
커패시터에 의한 용량성 리액턴스 성분을 확인하면 됩니다.
용량성 리액턴스 성분은

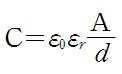
커패시턴스 C의 크기는 유전율과 정비례 합니다.
커패시턴스는 두개의 전극이 대향하고 있는 면적과 전극간 거리에 따라 달라지기 때문에
커패시터 형태에 따라 달라 집니다.
보통 기본적인 평판전극 형태의 경우,
커패시턴스는

(A: 대향면적, d: 극간거리, ε_0: 공기유전율, ε_r: 유전체의 비유전율)
** 실질적으로 콘덴서의 유전율을 구하려면...

C = [ 8.85 * 10 ^ (-12) ] * K * A / D 를 사용한다
이렇게 구한 캐패시터 C의 단위는 F (페럿)이다.
여기서
8.85 * 10 ^ (-12) : 진공에서의 유전율
K : 유전상수 ( 진공에서 유전율에 대한 비율) 진공일 때에 K는 1 이며,
모든 물질의 유전 상수는 1보다 큰 값을 가진다. 유전 상수가 클수록 더 큰 캐패시터를 얻을 수 있다
A : 도체 판의 면적
D : 절연체의 두께
일반적으로 진공의 유전율은 상수로 알고 사용하기 때문에 유도과정이나
단위에 의미를 두지 않지만 F/m 이라는 단위가 존재합니다.
이것은 전기장에 대한 전기변위를 나타냄을 알 수 있으며
진공중에서 전하의 힘 과 밀접한 관계가 있는 것으로 전기장과 전기변위 의 비라 하죠
어떤 물질을 투입 했다는 문건이나 자료가 있는지는 잘 모르겠지만
1/(빛의속도^2 * 진공투자율) = 8.85418... ×10^-12 이렇게 했다고 하고
진공 투자율은 4 * Pi * 10^-7 = 1.257 x 10^-6 로 계산했 다고 합니다.
진공투자율 이나 진공유전율은 기준을 잡기위한 상수로서 의미를 두어야 겠죠.
유전율도 그렇지만 투자율도 진공상태를 기준으로 하고 있거든요.
상대투자율이라고 하던가요.
결국은 투자율이나 유전율, 도전율은 각각의 밀도를 기준으로 하는데
투자율은 자속밀도, 도전율은 전류밀도 , 유전율은 전속밀도 (전기력선의 밀도) 를 기준으로 합니다.
따라서 진공유전율은 진공중의 전기력선의 밀도로 결정되겠죠.
유전율 (Permittivity)
유전율이란?
유전율(Permittivity : ε)이란 유전체(Dielectric Material), 즉 부도체의 전기적인 특성을 나타내는 중요한 특성값이다. 유전율은 DC전류에 대한 전기적 특성을 나타내는 것이 아니라 AC 전류, 특히 교류 전자기파의 특성과 직접적인 관련이 있다. 아래 그림을 통해 보면, 유전체(부도체)에서의 유전율의 의미를 개념적으로 이해할 수 있을 것이다. 평소에 너저분한 방향으로 각자 흩어져있던 +- moment 성분은 외부에서 걸린 전자계의 교류 변화에 맞추어 정렬된다. 이렇듯 외부의 전자계의 변화에 대해 물질 내부의 +- moment가 얼마나 민감하게 잘 반응(정렬)되느냐의 정도를 유전율이라고 표현할 수 있다.  유전율은 복소수로 정의되며, 아래와 같은 수식으로 나타낸다.  (비유전율)
유전율의 실수부는 전자파의 파장과 propagation과 관련된 항목이며, 허수부는 손실과 관련된 항목이다. 실제로는 유전율 전체 값을 사용하기 보다는 언제나 일정한 ε0 를 제외한 값, 즉 비유전율 εr 만을 특성값으로 사용한다. 여기서 허수부 j 앞의 -값은 특별한 수학적 의미는 없으며, 공학계에서는 -j를 허수구분자로, 물리학계에서는 +i를 허수구분자로 사용하는 것에 기인한다. 물론 실제 복소계산시에는 수식적으로 계산되지만, 공학계에서는 기본적으로 -j를 사용할 뿐이라는 점만 납득하면 된다. 예를 들어 유전율이 10 - j 0.04 라면, 유전율의 허수부는 -0.04가 아니라 그냥 0.04이다. 비유전율 ( εr : Relative Permittivity)
위의 수식과 설명에서 보여지듯이 실제로는 비유전율값만을 특성 지표로 사용한다. 비유전율이란 말 그대로 공기를 1로 놓고 그에 비례한 각 유전체의 유전율을 의미하는 것으로서, 지저분한 수치가 곱해져있는 전체 유전율보다 훨씬 깔끔하게 표현되게 때문에 애용된다. 그런데 실제로 연구자나 개발자들이 용어 사용시에는 '비'라는 말이 귀찮아서인지 생략하는 경향이 있어서, 보통 유전율특성에 대해 논하는 경우의 수치값은 대부분 비유전율을 지칭하는 경우이다. 비유전율의 실수부와 허수부 역시 유전율과 똑같이, 실수는 propagation 관련, 허수는 loss 관련한 항목이다. 그래서 이러한 분류에 의거하여 실수부와 허수부가 다음과 같은 용어로 구분된다.  Dielectric Constant : Loss Tangent :  실제 Loss tangent 값을 무시하고 쓰는 경우가 많기 때문에, 보통 '유전율이 얼마인가요?'라는 질문은 비유전율의 실수부, 즉 Dielectric Constant만을 지칭하는 경우가 많다. 초심자들이 이러한 유전율이라는 용어에 대해 이래저래 헷갈려 하는 경우를 많이 보게 되는데, 위의 수식과 내용을 잘 읽고 이해하면 납득이 갈 것이다. 보통 유전율이라고 말하는 건 비유전율을 의미하며, 그중에서도 주로 실수부인 Dielectric Constant를 지칭한다는 점을 이해하도록 한다. (비)유전율값의 의미
유전율이 크다는 것은 어떤 의미일까? 반대로 작은 경우에는 어떤 특성을 가지는 것인가? 사실 유전율이 어떤 의미이냐라는 문제보다는 유전율값이 의미하는 특성을 제대로 이해하는 것이 더 중요하다고 볼 수 있다. 일단 유전율이 높다는 의미는 기본적으로 전기에너지가 잘 전달된다는 의미로 비슷하게 이해할 수 있다. 이것은 AC냐 DC냐의 관점에서 미묘하게 엇갈리는데, DC개념에서 보면 미세한 입자전류로서 에너지가 좀더 잘 흐른다는 의미로, AC개념에서 보면 전자파의 파장이 더 짧아져서 진행을 방해하는 것처럼 보인다. 예를 들어 유전율이 낮은 흙에서는 전기가 잘 흐르지 않고 전자파는 잘 투과하지만, 수분에 젖어 유전율이 상승된 토양의 경우에는 점차 전기가 흐르기 시작하며 전자파는 잘 투과되지 않는다. (물론 이것은 수분의 에너지손실을 포함한 경우이다) 이렇게 위의 견해들은 현상적으로 맞아 보이지만 사실 정확히 match되는 표현이라고 할 수는 없다. 유전율값이 설계에 영향을 미치는 가장 중요한 factor라면 역시 파장 문제이다. 유전율이 높아지면 그 유전체 내에서 진행하는 전자기파의 파장이 Dielectric Constant의 제곱근값으로 나누어지는, 즉 관내파장(Guided Wavelength)값을 가지기 때문에 회로의 구조 크기 자체에 결정적인 영향을 미치게 된다. 일반적으로 회로의 크기를 줄이는 가장 간단한 방법중 하나가 기판이나 공진기로 사용되는 유전체를 보다 고유전율의 재질로 교체하는 방법이다. 그 외에도 굳이 크기를 줄인다는 측면 말고도 유전율이 다른 재질을 혼용하여 각 재질에 맞는 파장성분을 활용하거나, 유전율 조작에 의한 다중파장 생성을 통해 특성을 만들어내는 경우도 있다. 어쨌든 유전율값은 내부 전자기파의 파장과 직접적인 관련을 가지게 된다는 점에서 설계단계에서 신중하게 고려되어야 한다. |
유전율표 (Permitivity)
3D field simultion을 수행할 때 유전체(부도체)의 재질값을 몰라서 정확한 해석이 어려운 경우가 종종 있을 것이다. 그런데 이러한 유전율 정보를 얻기란 생각보다 쉽지 않다. 여기에 여러 문헌들을 종합하여 특별히 작성된 유전체의 유전율표를 이용하여 보다 정확한 구조해석을 수행하도록 하자. - 각 재질에 따라 특정온도와 측정 주파수별로 정리되었다. - 주파수마다 약간의 값차이가 있으니 최대한 참고하도록 한다. - 한 칸에 위에 있는 것은 비유전율의 실수부(Dielectric constant), 아래쪽에 있는 것은 비유전율의 허수부이다. 재질명 | 측정 온도 | 측정 주파수 | 300 Mhz | 3 Ghz | 10 Ghz | FR4 | | | 4.6 0.0004 | | Silicon | | | | 11.9 0.0476 | Gallium arsenide (GaAs) | 22 | | | 13 0.078 | Teflon | | 2.1 0.0003 | 2.1 0.0003 | 2.08 0.0008 | Polystylene (sheet stock) | 25 | 5.75 0.0805 | | 5.51 0.085 | Polyethylene (pure) | 24 | | 2.25 0.0007 | 2.25 0.0009 | Ceramic | | | 5.6 0.02296 | | Porcelain (Wet process) | 25 | 5.75 0.0805 | | 5.51 0.085 | Porcelain (Dry process) | 25 | 5.02 0.049 | | 4.74 0.074 | Pyranol 1478 | 26 | 4.5 0.17 | 3.8 0.88 | | Quartz, fused | 25 | | 3.78 0.00023 | 3.78 0.0004 | Resin No. 90S | 25 | | 2.54 0.016 | 2.53 0.0145 | Rubber, pale crepe (Hevea) | 25 | | 2.15 0.0065 | | Sealing wax (Red Empress) | 25 | | 3.09 0.038 | | Gutta-Percha | 25 | 2.45 0.0275 | 2.4 0.0145 | 2.38 0.012 | Lucite HM-119 | 23 | | 2.57 0.0126 | 2.57 0.0082 | Mycalex 400 (mica, glass) | 25 | | | 7.12 0.0235 | Neoprene compund (38% GN) | 24 | 4.24 0.27 | 4 0.135 | 4 0.105 | Nylon 66 | 25 | | 3.03 0.039 | | Nylon 610 | | | 2.84 0.03408 | | Paper (Royalgray) | 25 | 2.75 0.18 | 2.7 0.15 | 2.62 0.105 | Paraffin 123degree ASTM | 25 | | 2.25 0.00045 | 2.24 0.0005 | Plexiglass | 27 | 2.66 0.165 | 2.6 0.015 | 2.59 0.0175 | Amber (fossil resin) | 25 | 2.6 0.0223 | 2.6 0.0234 | | Bakelite (no filler) | 24 | | 3.64 0.19 | 3.52 0.13 | Beewax (white) | 23 | | 2.35 0.012 | 2.35 0.0113 | Carbon tetrachloride | 25 | 2.17 0.0003 | 2.17 0.0008 | 2.17 0.0035 | Ethyl alcohol (absolute) | 25 | 22.3 6 | 6.5 1.65 | 1.7 0.1 | Fiberglass BK 174 (laminated) | 24 | 4.54 0.1 | 4.4 0.13 | 4.37 0.16 | Glass, phosphate (2% iron oxide) | 25 | 5.23 0.013 | 5.17 0.024 | 5 0.021 | Glass, lead-barium | 25 | 6.69 0.013 | | 6.64 0.047 | Glass, Pyrex | | | 4.82 0.026028 | | Shellac, natural XL (3.5% wax) | 28 | | 2.86 0.073 | | Styrofoam 103.7 | 25 | | 1.03 0.0001 | 1.03 0.00015 | Sulfur, sublimed | 25 | | 3.62 0.00015 | 3.58 0.00055 | Vaseline | 25 | | 2.16 0.0014 | 2.16 0.0022 | Alumina (99.5%) | | | | 9.5 0.00285 | Berylla | | | | 6.4 0.00192 | Titiana (D-100) | | | | 96 0.096 | Rexolite 1422 | | | 2.54 0.001219 | |
<Special> 토양/ 물의 유전율표 재질 | 측정 온도 | 측정 주파수 | 300 Mhz | 3 Ghz | 10 Ghz | Sandy soil (dry) | 25 | 2.55 0.025 | 2.55 0.016 | 2.53 0.0092 | Loamy soil (dry) | 25 | 2.47 0.016 | 2.44 0.0027 | 2.44 0.0034 | Clay soil (dry) | 25 | 2.38 0.048 | 2.27 0.034 | 2.16 0.028 | Water | 1.5 | 86.5 2.8 | 80.5 25 | 38 39 | 25 | 77.5 1.25 | 76.7 12 | 55 30 | 55 | 68 0.63 | 67.5 6 | 60 22 | 85 | 57 0.42 | 56.5 3.1 | 54 14 |
전기장(電氣場) 또는 전기마당은 공간상에 전하가 존재할 때, 그 전하에 의해 생기는 공간상 각 지점의 전위단위 또한 일반적으론, 공간상의 한 점의 전기장의 크기는 그 지점에 단위전하(+1 C)을 놓았을 때 그 전하가 받는 힘으로 정의한다. 따라서 단위는 N/C 이며, 단위는 위와 동일하게 V/m이다. 
[편집] 쌍극자 사이의 전기장z가 두 전하 사이의 중점으로부터 특정 위치까지의 거리이고, p는 전기 쌍극자모멘트 
|