|
|

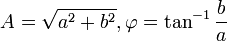
를 이용한 방법으로 복소평면상의 실수값cosθ와 허수값sinθ을 교류회로의 정현파의 가감연산을 복잡한 삼각함수 연산이
아닌 복소수의 계산으로 대치시켜 연산하는 방법이다. 복소수
는 복소평면상에서 원점으로 부터
까지의
거리를 복소수
의 크기라 하며
또는 A로 표기


로 표기한다. 또한
이므로 직교좌표 표현형식인 복소수
는

와 같이 표현된다.


와 같이 표시 될 수 있다.
당췌 뭔 소린지..-,ㅡ;
페이저-2
페이저(Phasor)는 어플라이드 엔지니어링(Applied Engineering)에서 1986년 개발한 애플 II용 스테레오 뮤직, 스피치 사운드 카드이다. 페이저는 AY-3-8913 칩 4개와 SSI 263 스피치 칩을 사용해서 12채널 사운드와 보이스를 출력할 수 있으며 추가 소켓으로 스피치 칩을 하나 더 달 수 있다. 사운드 카드와 뮤직 플레이어, 컴포져, 사운드&스피치 데모등의 관련 소프트웨어로 구성되어 있으며 머킹보드와 ALF 애플 뮤직 신서사이저, 에코+, 슈퍼뮤직 신서사이저의 소프트웨어와 호환된다.
당췌 뭔 소린지..-,ㅡ;
페이저-3
페이저 사운드카드
당췌 뭔 그림인지..-,ㅡ;
페이저-4
놀턴 부하전류 페이저좀 도와주세요 모르겟어요ㅠ.ㅠ ![]()
집게(rink****) 2010-12-06 22:02 조회 30 답변 1
제인님 10.12.07
IL = In * Zn / (Zn + ZL) 로 나오죠? 그런데 무엇을 못구하겠다는 건가요? 계산이 안된다는 건가요?집게님 10.12.07
IL의 {}안에 있는 식을 못구하겠어요 이게 극좌표로 바꾸는거까지는 아는데 그 다음 계산이 안되네요ㅠ.ㅠ아악.~~~ @,@;
회로이론에서 페이저 덧셈에 대해서 질문좀 할게요 ![]()
비공개 2009-10-24 20:23 조회 176 답변 1
해바라기(jung*******) 답변 82 채택률 44.4%
곱셈과 나눗셈은 극 좌표계로 계산을 하는 것이 좋고요.
덧섬과 뺄셈은 직각 좌표계로 계산을 하는 것이 편하게 계산을 하실 수 있습니다.
님께서 질문하신 문제는 직각 좌표계로 고쳐서 계산을 하시면 쉽게 계산이 됨니다.
공학용 계산기로 계산하실 때에는 직각 좌표계로 고치지않고 계산이 가능 합니다.
도움이 되셨으면 감사 하겠습니다.
.. -_ㅡ;
음..
물론, 이 때의 페이저는 'Phasor'입니다.
유튜브에서 페이저 치니 이런 것도 나오네요. 아마 일본 랩그룹인 듯.. 마이크로폰 페이저?
http://www.youtube.com/watch?v=CshPfhZ5sdQ ←동영상보기
첫댓글 우리는 무지 어려운걸 타고 있군요... ㅋㅋ
그래서 첨에 탈때 어려웠군요~^^
저도 예전에 검색해봤었는대..ㅋ
아우~어지러워...
일렉기타 이펙트 중에, 'Fazer' 도 있으용~~~~ ㅋ...그러나...고수가 되려면, 복소수 공부를 다시해야 하는 군요. ㅡㅡ;;;
좋은 정보 감사합니다.ㅋㅋㅋ
페이져4는 17년전 기사공부할때 회로에서 봤던것 같은데...