• Daum
  • |
  • 카페
  • |
  • 테이블
  • |
  • 메일
  • |
  • 카페앱 설치
 
카페정보
카페 프로필 이미지
물♡화♡생♡지
 
 
 
카페 게시글
☞ 물리:MD·PEET MD MD 12년 자연과학2 의학(37번) 치의학(40번)
미생 추천 0 조회 559 16.02.23 18:20 댓글 6
게시글 본문내용
 
다음검색
댓글
  • 작성자 16.02.23 19:33

    첫댓글 4번

  • 작성자 16.03.02 16:50

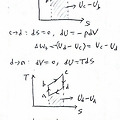
    ㄱ. 단열과정에서 기체의 온도가 증가하면 기체의 부피가 감소한다.

    ㄴ. b→c 과정에서 기체가 외부에 일을 하지 않으므로 기체의 온도가 증가할 때 기체의 내부에너지가 증가한다.

    ㄷ. TS 그래프에서 b→c 과정에서 곡선과 x축 사이의 면적은 외부에서 열이 공급되어 기체의 내부에너지가 증가한 것이고, d→a과정에서 곡선과 x축 사이의 면적은 외부로 열이 방출되어 기체의 내부에너지가 감소한 것이다. 그리고 c→d, a→b의 과정은 열의 출입이 없다. 그러므로 폐곡선 내부의 면적은 한 순환과정동안 기체가 외부에 한 알짜일과 같다.

  • 16.03.02 22:04

    선생님~~~ㄷ이 이해가안되네요ㅠㅡ
    cd와ab단계는 열출입이 없구 일이존재하고 bc와da가 열의 출입및방출인건알겠는데 왜 면작이 일일까요?ㅠㅠ 설명부탁드립니다.ㅠㅠ

  • 작성자 16.03.02 22:41

    @긍정적으로 dU = TdS - pdV로 접근해봤어요. ㄷ보기 설명하기 전에 이렇게 풀었는데 말로 설명하다보니 위 댓글의 설명이 부족한 것 같습니다. ㅠ

    ∆W_1은 음수(기체가 외부로부터 일을 받음), ∆W_3은 양수(기체가 외부에 일을 함)

  • 16.03.02 23:22

    @미생 우아 쌤 너무감사해요^^
    명쾌하네요ㅋㄱㅋ
    하나더 질문하면 마지막에 d에서 a로 가는거에서 Ud-Ua에서 a가 나중상태이면 반대로되야 되는거 아닌가요?ㅠㅠ

  • 작성자 16.03.03 06:24

    @긍정적으로 -(Ua - Ud)로 생각했어요.
    b→c가 x축에서 +방향이라고 하면 d→a는 -방향으로 적분하는 것이기 때문이에요. 곡선 아래의 면적은 a→d로 생각하고 계산해도 같은 값이 나오기 때문에 Ud - Ua라고 생각해도 무방할 것 같아요~^^

최신목록