• Daum
  • |
  • 카페
  • |
  • 테이블
  • |
  • 메일
  • |
  • 카페앱 설치
 
카페정보
카페 프로필 이미지
물♡화♡생♡지
 
 
 
카페 게시글
☞ 물리:MD·PEET PEET PEET 물리추론 13년 8번
미생 추천 0 조회 326 16.02.24 20:35 댓글 3
게시글 본문내용
 
다음검색
댓글
  • 작성자 16.02.24 21:06

    첫댓글 2번

  • 작성자 16.03.03 14:00

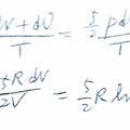
    ㄱ. 기체가 외부에 한 일 ∆W = P(2V - V) = PV = RT

    ㄴ. 기체 분자의 평균 운동에너지는 (3/2)kT
    T_f = 2T이므로 2배이다.

    ㄷ. 기체의 엔트로피는 증가한다.

  • 작성자 16.09.12 19:29

    @합ㄱ겨겨격 (5/2)Rln2 말씀하시는 거죠? 그런 것 같아요~

최신목록