MD & PEET 기출문제 풀이 목록
http://cafe.daum.net/S2000/9jMV/36
다음 카페의 ie10 이하 브라우저 지원이 종료됩니다. 원활한 카페 이용을 위해 사용 중인 브라우저를 업데이트 해주세요.
다시보지않기
Daum
|
카페
|
테이블
|
메일
|
즐겨찾는 카페
로그인
카페앱 설치
물 ♡화 ♡생 ♡지
https://cafe.daum.net/S2000
최신글 보기
|
인기글 보기
|
이미지 보기
검색
카페정보
물♡화♡생♡지
플래티넘 (공개)
카페지기
꿈♡생♡도
회원수
42,061
방문수
4,068
카페앱수
646
카페 전체 메뉴
▲
검색
친구 카페
이전
다음
ㆍ
돌보미들의 운영마당
ㆍ
2009신규임용과학교..
ㆍ
2차 시험 마당
카페 게시글
목록
이전글
다음글
답글
수정
삭제
스팸처리
☞ 물리:MD·PEET
MD
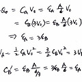
MD 13년 자연과학2 의학(39번) 치의학(42번)
미생
추천 0
조회 188
16.02.25 19:12
댓글
2
북마크
번역하기
공유하기
기능 더보기
게시글 본문내용
다음검색
댓글
2
추천해요
0
스크랩
0
댓글
미생
작성자
16.02.25 19:16
첫댓글
5번
미생
작성자
16.03.04 13:37
.
원본보기
검색 옵션 선택상자
댓글내용
선택됨
옵션 더 보기
댓글내용
댓글 작성자
검색하기
재로딩
최신목록
글쓰기
답글
수정
삭제
스팸처리
첫댓글 5번
.